Pine Mountain Settlement School
Series 09: BIOGRAPHY – A-Z – Donors
Series 22: ENVIRONMENTAL EDUCATION
Series 23: E. J. CARR PLANT CENTER
Inventory Project (as of 2005)

E.J. Carr Plant Center in the Girls Industrial Building. View of exhibits .[P1130990-e1501726813288.jpg]
TAGS: Ellwood J. Carr Botanical Collection, E. J. Carr Plant Center, collection inventory, Ellwood Jerome Carr, donations, instructional materials, Environmental Education Program, Girls Industrial Building, naturalists, botanists
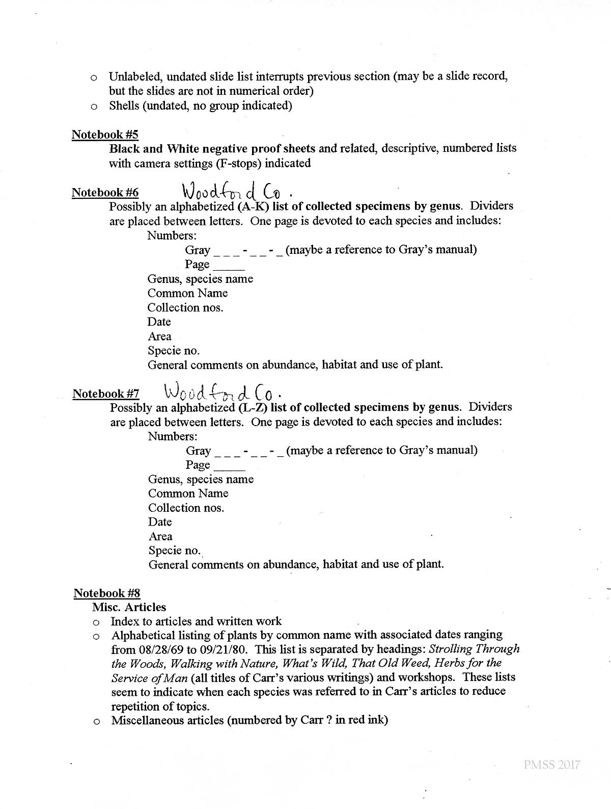
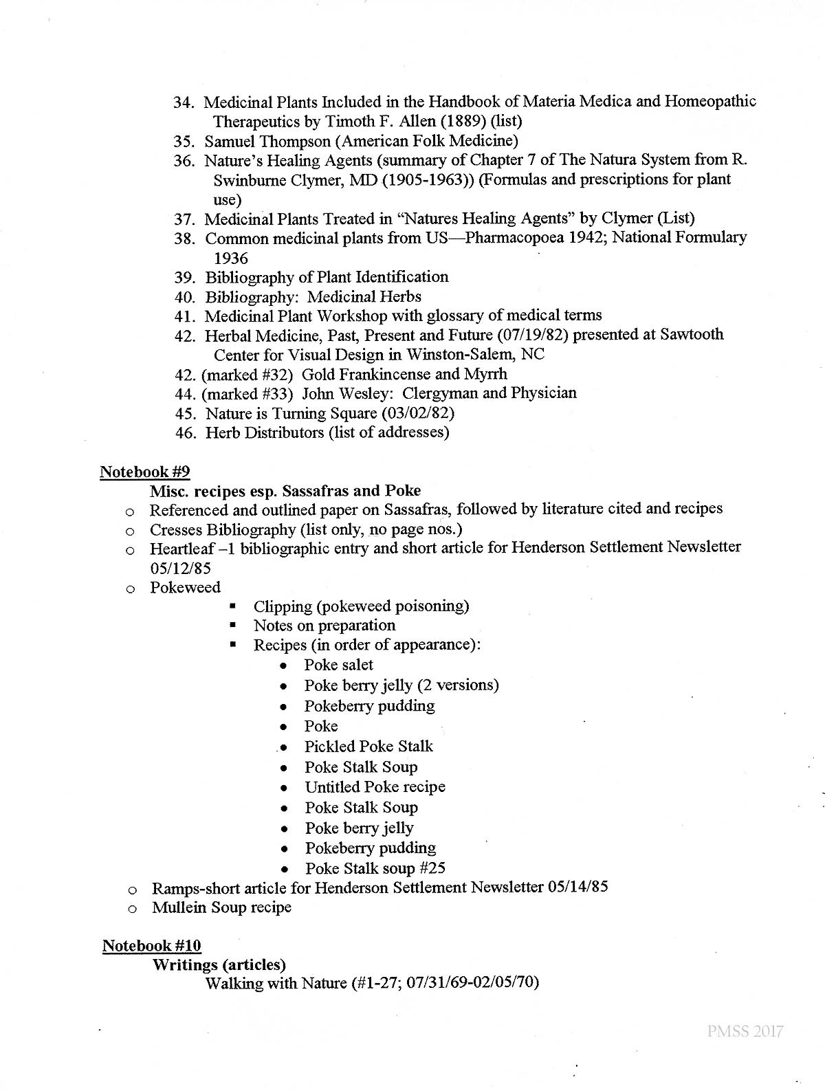
E. J. CARR PLANT CENTER Inventory Project
Inventory List of the Botanical Collection Donated c. 1984 by Ellwood J. Carr,
Botanist and Naturalist, as located in the Girls Industrial Building
The following 17-page document is an inventory list (as of 2005) of the collection that was donated in c. 1984 by Botanist Ellwood J. Carr to the Pine Mountain Settlement School. The very large collection was housed with the instructional materials for the Environmental Education Program located in the former Girls Industrial Building, now commonly called the “Plant Center.”
Ellwood Jerome Carr, who preferred to be called “Bud” throughout his life, was 95 years old when he died on March 26, 2005, in Brodhead, Kentucky. His long life as a naturalist was regularly punctuated with accomplishment and his contributions to southeastern Kentucky are well-known to those interested in the flora and fauna of this region.

Ellwood J. Carr Plant Center Inventory .[P1140034.jpg]
GALLERY
- E.J. Carr Project & Inventory. carr_collection_001
- E.J. Carr Project & Inventory.carr_collection_002
- E.J. Carr Project & Inventory. carr_collection_003
- E.J. Carr Project & Inventory. carr_collection_004
- E.J. Carr Project & Inventory. carr_collection_005
- E.J. Carr Project & Inventory. carr_collection_006
- E.J. Carr Project & Inventory. carr_collection_007
- E.J. Carr Project & Inventory. carr_collection_008
- E.J. Carr Project & Inventory. carr_collection_009
- E.J. Carr Project & Inventory. carr_collection_010
- E.J. Carr Project & Inventory. carr_collection_011
- E.J. Carr Project & Inventory. carr_collection_012
- E.J. Carr Project & Inventory. carr_collection_013
- E.J. Carr Project & Inventory. carr_collection_014
- E.J. Carr Project & Inventory. carr_collection_015
- E.J. Carr Project & Inventory. carr_collection_016
- E.J. Carr Project & Inventory. carr_collection_017
Return To:
E. J. CARR About the Donor (Biography)
E J. CARR PLANT CENTER Guide
See Also:
ENVIRONMENTAL EDUCATION
ENVIRONMENTAL EDUCATION Guide 1972 to present
NOTES – 1985 December, page 3, “Giving a Lifetime of Work”
PERIODICALS Castanea Journal Southern Appalachian Botanical Club

















