PINE MOUNTAIN SETTLEMENT SCHOOL
Series 09: BIOGRAPHY
Series 19: STUDENTS
Clyde Edward Enix (1922-2009)
PMSS Student 1933-1938
Correspondence 1996-2002

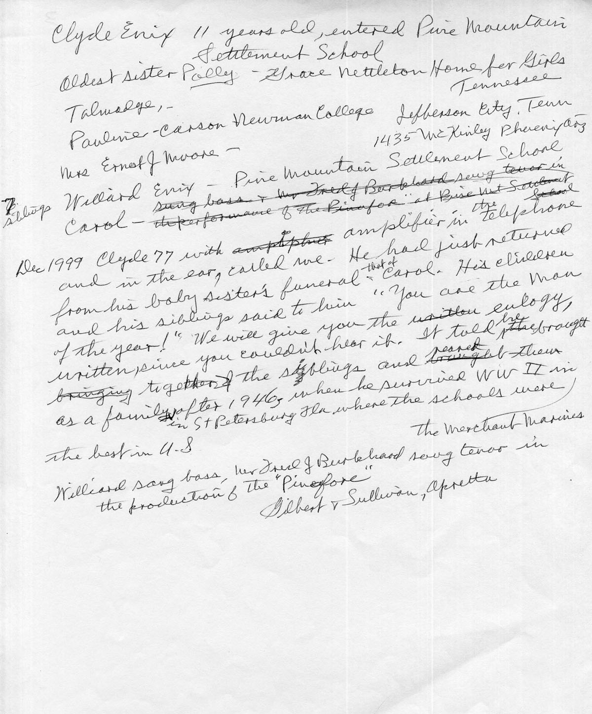
Burkhard Correspondence. Inside of holiday card to Esther Burkhard from Gene & Clyde Enix, 1999, with Esther’s notes. [enix_clyde_corresp_001.jpg]
TAGS: Clyde Edward Enix correspondence, Willard Earl Enix, PMSS students, Esther Weller Burkhard, Esther and Fred J. Burkhard Collections, Christmas cards, Gene and Clyde Enix, Enix Family, Berea College Academy, Berea College, Pearl Harbor, WWII, Merchant Marines, notes from phone calls, Mary Rockwell Hook, Open House, H.M.S. Pinafore
CLYDE EDWARD ENIX Correspondence 1996-2002
Clyde Edward Enix and his brother Willard were PMSS students in the 1930s and 1940s. Later in life, they gathered all five of their siblings to live in Florida near each other. The following are Clyde and Gene Enix’s letter to Esther Weller Burkhard and several pages of notes that Esther took during phone calls with Clyde. These items are part of the Esther and Fred J. Burkhard Collections which have been donated to PMSS Archives. Clyde Enix was a lifelong friend of the Burkhard family.
CONTENTS: CLYDE EDWARD ENIX Correspondence
[NOTE: The following list of contents is in chronological order and not necessarily in the order of the image numbers. Excerpted text is slightly edited for readability.]
05 December 16, 1996. Notes by Esther Burkhard of a phone call from Clyde Enix, 74 years old, who tells about stepson’s career, his son Mark’s family, his twin sons’ careers, now in chiropractics. She writes,
Clyde was 11 years old when [he] entered Pine Mt. 14 in 1936. Sylvia Parsons, nurse in Dr. Bailey’s office in Harlan was his aunt. Mr. Howard Burdine was his houseparent at Farm House. His sister, Polly, was at the Nettleton Home (Tennessee) for girls. Clyde under Fred Burkhard, teacher of printing, did a project — biography of Mrs. [Mary Rockwell] Hook, architect for Industrial Bldg., Far House, [and] Open House — hand-set type, printed, and made a frame in the woodworking shop, and hung it in Open House. When…Hook stayed in Open House during her visits she said to him, ‘What can I do for you?’ He said he would like to have work off campus. ‘Would you come to my home & be a bus boy?’ ‘Yes.’ So Clyde and I (Esther) drove with her to Indianapolis Hotel owned by the Hooks, then to St. Joseph, Mo., met my parents, and then went on to Kansas City to the Hook home.”
Her notes conclude with Clyde’s mentions of oldest grandson and Dennis’s children.
01 [n.d., penciled notation “1999” added later] Note on the inside of a Christmas card to Mrs. Esther Burkhard from Gene & Clyde Enix, with updates about the locations of her daughter and sons. [Notes presumably by Esther on separate slip of paper: “Clyde Enix, (age?) 77; 5 yr Pine Mt. 1933-38; Berea College 38-1942; WWII Pearl Harbor, Merchant Marines 1946- “]
02 [Reverse side of Christmas card with continuation of note from the Enixes.]
06-09 December 1999. Four pages of notes by Esther Burkhard taken during a phone call from Clyde Enix. [06] Page 1. He reported that his “baby sister” Carol died of a heart attack at age 66. His brother, Willard, 57, died of a heart attack in 1981. As a PMSS boarding/high school student at Pine Mountain Settlement School, Willard “sang bass admiral in [H.M.S.] Pinafore while Fred J. Burkhard sang tenor. Willard became a tenor, singing in operas and operettas in Miami.” Clyde’s children and relatives wrote a piece [the eulogy?] “which told of Clyde ‘bringing them up’ after 1946 [WWII]” and bringing his siblings together in St. Petersburg. He gives update about his siblings; Polly oldest, Talmadge, Pauline, Janette (Mrs. Ernest J. Moore), Willard. “Clyde worked for St. Petersburg Times and left in 1957. He also worked for Jacksonville Times, Foreman Company. At one time he invested in raising cattle….”
[07] December 1999, continued, page 2. Burkhard’s notes record Clyde’s updates about his sister Polly, her husband, who was a native of Cayman Islands and had several businesses there. She writes:
Clyde, when in Berea College high school [Academy] 1938-1942?, …studied American History and European history under Dr. Elisabeth Peck…. She was head of [?]’s dormitory. Every few weeks after church she would invite all to the living room for a concert of student cellists, a sextet or combo. One of Clyde’s friends was Dean Shott’s son. Together one summer they went to Phoenix AZ and old Mexico.
Clyde tells of the time he heard on the radio about Japan’s attack on Pearl Harbor, Hawaii. “Clyde asked Dean Shutt if he thought he would qualify to enter Berea College. ‘Answer depends upon your grades from Mrs. Peck.’ He made A.”
[8] December 1999, continued, page 2. “While Clyde was at Berea, his girlfriend was Mattie Ayers. Another student from Pine Mt. was “Lucille Christian who ‘mothered him.’ Once a week [she] washed & ironed his white shirt. ….” Clyde tells about his twin sons as chiropractors.
[9] December 1999, continued, page 3. Repetition of mostly already-noted details concerning his 7 siblings and their honoring him for bringing them together after WWII.
03 June 11, 2002. Notes by Esther Burkhard “in answer to Class of 1942 – 60th Reunion, Allen E. Long, President, Mountain Settlement School Asso. of Alumni & Friends,” with information about Willard and Clyde Enix.
Willard Enix (Harlan) – Died in 1981, age 57, heart attack. (Heart trouble all his life). Living in Miami, FL, singing tenor in operas and operettas. In 1935 mother died giving birth to Bobby. Father died soon [after]. Alta, 5, and Polly, 7, put in Grace Nettleton House. Janette, 12, in Red Bird Settlement School, Bell County, Carol, 2, and Bobby, [sent to] Grandmother Cole and Aunt Lillie.
Clyde, 10, and Willard, 9, in Pine Mountain, Harlan, then Berea Academy and College, then beginning WWII joined Merchant Marines. Surviving this in 1946, Clyde rented a large furnished house in St. Petersburg, FL, for the seven orphans to be together. The family circle numbers well over fifty. Oct. 1, 2002, Clyde will be 80. I, Esther Weller or Mrs. Fred Burkhard, will be 90, Dec 7. Clyde Enix, … Brooksville, FL, …
04 October 2, 2002. Notes by Esther Burkhard of a phone call from Clyde Enix, “just after receiving my card for his 80th birthday.” He tells about his hearing disability due to an infection while in New Guinea during WWII; his grandson’s “great academic potential.” Wife (Gene), after several falls, is now in a wheelchair.
GALLERY: CLYDE EDWARD ENIX Correspondence
- 01 Burkhard Correspondence. Inside of holiday card to Esther Burkhard from Gene & Clyde Enix, 1998(?), with Esther’s notes. [enix_clyde_corresp_001.jpg]
- 02 Burkhard Correspondence. Front & back of Holiday card to Esther Burkhard, from Gene & Clyde Enix, 1998. [enix_clyde_corresp_002.jpg]
- 03 Burkhard Correspondence. To Allen E. Long, President PMSS Assoc. of Alumni & Friends, from Fred Burkhard, June 11, 2002. [enix_clyde_corresp_003.jpg]
- 04 Burkhard Correspondence. Notes by Esther Burkhard from a conversation with Clyde Enix, Oct. 2, 2002. [enix_clyde_corresp_004.jpg]
- 05 Burkhard Correspondence. Notes by Esther Burkhard from a conversation with Clyde Enix, Dec. 16, 1996. [enix_clyde_corresp_005.jpg]
- 06 Esther Burkhard’s notes from conversation with Clyde Enix, Dec. 1999, p.1. [enix_clyde_corresp_006.jpg]
- 07 Burkhard Correspondence. Esther Burkhard’s notes from conversation with Clyde Enix, p. 2. [enix_clyde_corresp_007.jpg]
- 08 Burkhard Correspondence. Esther Burkhard’s notes from conversation with Clyde Enix, Dec. 1999, p.3. [enix_clyde_corresp_008.jpg]
- 09 Burkhard Correspondence. Esther Burkhard’s notes from conversation with Clyde Enix, Dec. 1999, p. 4. [enix_clyde_corresp_009.jpg]
See Also:
CLYDE EDWARD ENIX Student – Biography
ENIX Family
MARY ROCKWELL HOOK Correspondence 1938 Box 18: 2-66 – Mentioning Clyde’s summer work at Hook’s residence in Florida
WILLARD EARL ENIX Student – Biography









